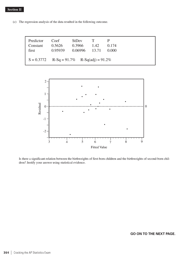
Excerpted from

Excerpted from Cracking the AP Statistics Exam by Madhuri S. Mulekar. Copyright © 2014 by TPR Education IP Holdings, LLC. Excerpted by permission of The Princeton Review imprint of the Random House Children's Group, a division of Random House LLC. All rights reserved. No part of this excerpt may be reproduced or reprinted without permission in writing from the publisher.