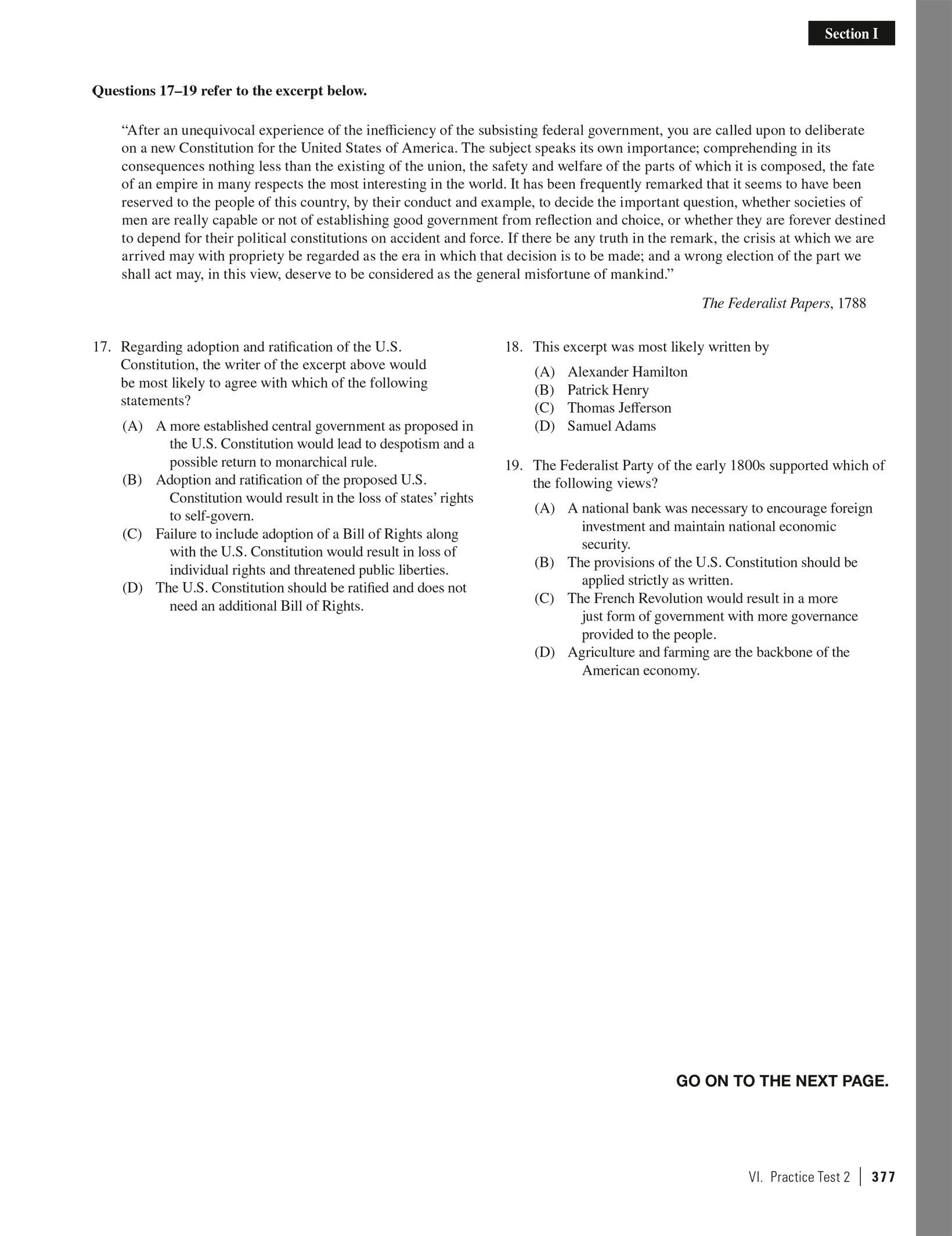
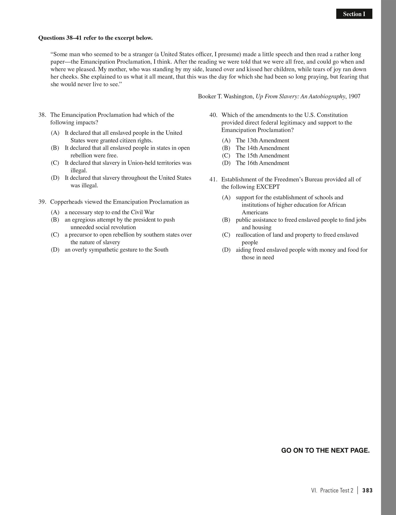
Excerpted from

Excerpted from Princeton Review AP U.S. History Premium Prep, 23rd Edition by the Staff of The Princeton Review. Copyright © 2023 by TPR Education IP Holdings, LLC. All rights reserved. Excerpted by permission of Penguin Random House LLC, New York, and in Canada by Random House of Canada, a division of Penguin Random House Ltd., Toronto. No part of this excerpt may be reproduced or reprinted without permission in writing from the publisher.